슬라이딩 벡터

Sliding Vector

 

 

 

슬라이딩 벡터는 충돌 시에 입사벡터가 입사면을 따라서 미끄러지게 하기 위해서 수평 성분만을 남긴 벡터이다. 

구하는 방법에는 반사벡터를 이용해 구하는 방법과 일반적인 방법이 있다.

 

반사 벡터를 이용해서 구하는 방법

 

반사 벡터에서 입사벡터 P에 n(-P·n)을 한번 더해주면 입사면에 투영된 접선벡터를 구할 수 있다.

입사벡터의 역벡터 -P가 n에 투영된 n(-P·n)을 이용해 슬라이딩 벡터를 구하고 있는 중이다.

따라서 반사 벡터를 이용할 때 슬라이딩 벡터 S를 구하는 공식은 다음과 같다. 

S = P + n(-P·n)

 

 

 

◎ 일반적인 방법

일반적인 방법으로는 입사벡터 P를 n에 바로 투영시킨다.

입사벡터 P와 법선벡터 n의 끼인 각이 0≤ θ ≤ π/2 일 때, P·n의 값은 음수가 되므로, n벡터의 역벡터 방향으로 투영 벡터가 생성된다.

 

이렇게 얻을 수 있는 투영벡터 n(-P·n)을 입사벡터 P에서 빼주면 슬라이딩 벡터 S를 얻을 수 있다.

이때의 슬라이딩 벡터 S를 구하는 공식은 다음과 같다.

 

S = P - n(-P·n)

 

 

 

 

 

참고 자료;

https://toymaker.tistory.com/entry/%EB%AF%B8%EB%81%84%EB%9F%AC%EC%A7%90-%EB%B2%A1%ED%84%B0-Sliding-Vector?category=500302 

 

 

반사벡터

Reflection Vector

 

 

 

반사 벡터는 정반사이다.

정반사는 입사각과 반사각이 동일한 반사를 의미한다. 

 

◎ 투영 벡터

반사 벡터를 구하려면 투영 벡터를 먼저 구해야 한다.

투영이란 어떤 벡터 v를 단위 벡터 n에 내적하여 구할 수 있는 v의 n방향으로의 길이를 뜻한다. 

내적값이 스칼라이므로 투영된 방향으로의 벡터를 구하려면 이 내적값에 방향벡터 n을 곱해주면 된다. 

(v·n)n을 이용해 벡터를 구할 수 있게 된다. 

* 왜 이렇게 되는지 추가 설명!

더보기

v와 n을 내적하면 cosθ를 결과값으로 얻게 된다.

v·n = ||v||||n||cosθ

 

여기서 이 삼각형은 직각삼각형이므로 코사인값은 밑변/빗변 즉, ||n|| / ||v|| 이다.

||n|| = ||v||cosθ 이고 투영한 길이를 w라고 했을 때

w = ||v||cosθ가 된다. 

 

길이를 구했으니 방향도 알아야 하는데, 길이가 1인 단위벡터는 방향의 정보만을 갖고 있으므로 

단위벡터인 n의 방향으로의 길이를 구하려는 투영의 값에 n을 곱해주면 된다.

 

n의 방향 벡터 = n / ||n||

투영 벡터 = ( n / ||n|| ) * ||v||cosθ

 

하지만 두 벡터 사이각을 항상 알 수 없으므로

v·n = ||v||||n||cosθ 라는 사실을 응용해서 v·n/||n|| = ||v||cosθ 이런식을 만들어내면

두 벡터만 주어졌을 때, 한 벡터를 다른 벡터에 투영하는 공식을 구했을 때

((v·n) / ||n|| ) * ( n / ||n|| ) 이런 공식이 나오게 된다.

 

◎ 반사벡터 

투영 벡터를 이용해 구한 벡터로 반사 벡터를 계산한다.

다음과 같이 입사벡터(P)와 법선 벡터(n)이 있을 때 반사 벡터(R)은 입사벡터(P)와 크기가 같고 반사각과 입사각이 같다.

P와 n을 이용하면 반사벡터(R)을 구할 수 있다. 

 

우선 위의 투영 벡터를 구하는 방식을 이용해 입사 벡터 P의 역벡터 -P를 n의 연장선상에 투영시켜서 투영벡터 n(-P · n)을 구한다. 

 

어떻게 투영 벡터를 구하는건지? 

더보기

이렇게 돌려보면 쉽게 알 수 있다!

 

그 후 입사 벡터 P의 시작 위치를 원점에 위치 시키고 투영으로 구한 n(-P·n)를 더하면 입사면에 투영된 벡터의 위치를 구할 수 있다. 

입사 벡터 P에 n(-P·n)를 한 번 더하면 입사면에 투영된 위치를, 두번 더하면 반사벡터 R을 구할 수 있다.

 

따라서 반사벡터 R을 구하는 공식은 다음과 같다.

R = P + 2n(-P·n)

 

 

 

 

참고 자료;

https://toymaker.tistory.com/entry/%EB%B0%98%EC%82%AC-%EB%B2%A1%ED%84%B0-Reflection-Vector


https://ifyouwanna.tistory.com/entry/%EB%B0%98%EC%82%AC%EB%B2%A1%ED%84%B0


https://gyong0.tistory.com/22

 

 

DirectX Texture Tool 이용 CubeMap 제작

 

 

DirectX에서 제공하는 Texture Tool을 이용하면 SkyBox를 만들기 위한 .dds(Direct Draw Surface)포맷의 파일을 쉽게 만들 수 있다. 

 

 

 

◎ 큐브맵이란? 

큐브맵은 환경에 대한 반사를 나타내는 여섯 개의 사각형 텍스쳐 컬렉션을 말한다. 여섯 개의 사각형은 오브젝트를 둘러싸는 가상 큐브면을 형성하며 각각의 면은 월드 축의 방향을 따른 뷰를 나타낸다. (위,아래, 좌,우, 앞, 뒤)

 

출처 ; Unity Document > 그래픽스 > 렌더링 컴포넌트 > 큐브맵 

 

 

 

 

◎ Direct Texture Tool은 어디에 있는가!? 

 

C드라이브의 Program Files(x86)에 들어가보면 Microsoft DirectX SDK 폴더가 있고 

그 안에 Utilities\bin\x86(혹은 x64)를 열어보면 DxTex.exe 파일이 있다.

 

 

 

만약 이 폴더의 존재를 찾아볼 수 없다면? 깔아야 한다. 

 

 

https://www.microsoft.com/en-us/download/details.aspx?id=6812

 

DirectX SDK - (June 2010)

Download the complete DirectX SDK, which contains the DirectX Runtime and all DirectX software required to create DirectX compliant applications.

www.microsoft.com

이곳에 들어가서 DownLoad를 눌러서 설치하면 된다. 

 

 

 

 

◎ 큐브맵 만들기 

 

 

이제 큐브맵을 만들 수 있다!

 

 

파일에서 New Texture를 누르면 이제 생성할 수 있는데 가로, 세로, 그리고 밉맵 레벨을 설정해 주고 확인을 누른다. 

 

그러면 View->CubeMapFace에서 +x, -x, +y, -y, +z, -z 이렇게 6개의 축을 선택할 수 있다.

각각의 축을 선택해서 이제 하나씩 채워줄 것이다.

 

 

CubeMapFace를 지금 +X 축으로 설정해 놨으니 Open Onto This Cubemap Face를 눌러 해당 축에 맞는 이미지를 찾아서 넣어준다.

여섯 면을 다 채워줬으면 .dds 포맷으로 Save를 해준다. 그러면 완성이다. 

 

 

 

 

 

 

 

참고 자료;

 

https://docs.unity3d.com/kr/2018.4/Manual/class-Cubemap.html

 

큐브맵 - Unity 매뉴얼

큐브맵(Cubemap) 은 환경에 대한 반사를 나타내는 여섯 개의 사각형 텍스처 컬렉션입니다. 여섯 개의 사각형은 오브젝트를 둘러싸는 가상 큐브면을 형성합니다. 각각의 면은 월드 축의 방향을 따��

docs.unity3d.com

 

 

 

행렬 下

행렬식, 역행렬, 딸림행렬

 

 

 

 

◎ 행렬식

행렬식(=determinant)는 정사각행렬에 수를 대응시키는 하나의 함수이다. 이 행렬식은 정사각행렬에서만 정의되는 값으로 행렬의 역행렬 존재여부를 결정한다.

 

따라서 이 행렬식의 명제,

"정방행렬 A는 오직 det A 가 0이 아닐 때에만 역행렬이 존재한다"

를 이용하면 주어진 행렬의 역을 구할 수 있는지 없는지를 쉽게 판단할 수 있다.

 

 

 

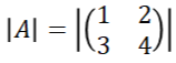
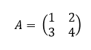
정사각행렬(=정방행렬) A의 행렬식을 흔히 detA라고 표기한다.

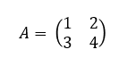
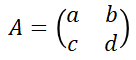
A가 2x2의 정방행렬이라고 가정했을 때 역행렬을 표현하는 방법은 다음과 같다. 

 

 

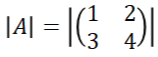
행렬식을 구하는 방법은 2x2일 때는 굉장히 간단하다.

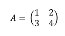
detA = a*d - b*c를 구하면 된다. 

그런데 행렬은 2x2만 있는 것이 아니다. 그 이상의 행렬의 행렬식은 어떻게 구할까?

 

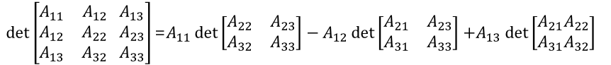
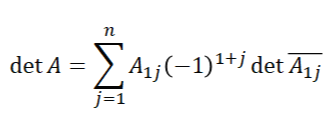
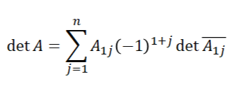
한 행렬의 행렬식은 재귀적으로 정의된다. 

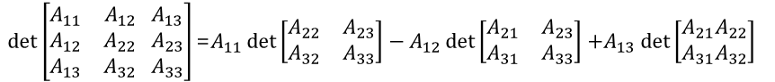
예를 들어 4x4 행렬의 행렬식은 3x3 행렬의 행렬식을 항으로 해 정의되고 3x3 행렬의 행렬식은 2x2 행렬의 행렬식으로, 2x2는 1x1 행렬의 행렬식으로 정의된다. 이 2x2 행렬의 1x1 행렬식이 바로 위의 ad-bc인 것이다. 

 

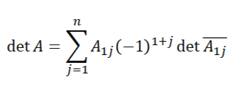
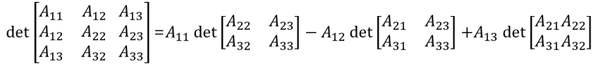
그러면 A가 nxn 행렬이라고 할 때, n > 1 에 대해 A의 행렬식은 다음과 같이 정의된다.

3x3행렬의 소행렬 정의를 이용하면 3x3 행렬의 행렬식의 정의는 아래와 같다.

소행렬?

더보기

n x n 행렬 A가 주어졌을 때, 그 소행렬은 A의 i번째 행과 j번째 열을 삭제한 결과로 생긴 (n - 1) x (n - 1)행렬이다.

소행렬

 

 

 

 

 

◎ 딸림행렬

딸림행렬은 이해하기 앞서 여인수에 대한 정의가 필요하다.

여인수라는 것은 A가 n x n 행렬이라고 할 때, 아래의 C를 여인수(confactor)라고 부른다.

A의 여인수행렬이란 것은 A의 각 성분에 여인수 C를 해당 ij번째의 위치에 넣어서 만든 행렬을 뜻한다.

그리고 이 여인수행렬의 전치행렬을 A의 딸림행렬(adjoint matrix)라고 부르는 것이다.

 

 

 

 

◎ 행렬의 역

역행렬은 n차의 정방 행렬 A가 있고 단위행렬을 E라고 할 때 AX = E가 되는 n차의 정방 행렬 X를 뜻한다. 

즉 교환법칙이 성립되지 않는 행렬의 곱셈에서 A에 곱했을 때 단위행렬이 되는 특정 행렬을 말하는 것이다. 

 

행렬 대수는 나눗셈 연산은 정의하지 않지만 곱셈에 대한 역인 역행렬에 대한 정의는 존재한다. 

행렬 A에 대한 역행렬은 다음과 같이 표현한다.

 

위의 행렬식의 명제를 통해 본것 같이 모든 행렬이 역행렬을 갖는 것은 아니다. 우선 정방행렬(n x n)이어야 하며 행렬식이 0이되어서는 안된다

이처럼 역행렬이 있는 행렬을 가역행렬이라고 하고 역행렬이 없는 행렬은 특이행렬이라 부른다. 

 

역행렬을 구하는 방법은 간단하다. 

행렬의 앞에 앞서 구한 행렬식을 곱해주면 된다

 

 

 

 

 

참고 자료;

https://namu.wiki/w/%ED%96%89%EB%A0%AC%EC%8B%9D

 

행렬식 - 나무위키

우선, 열벡터 각각을 하나의 인수로 보자. 그러면 다음과 같이 생각할 수 있다. n=2n=2n=2이면 det⁡:(F2)2→F\det :\left(F^2\right)^2\rightarrow Fdet:(F2)2→F 이 관점에서 행렬식은 다중선형(multi-linear), 교대(alternating) 범함수(functional)[1]이다. 풀어쓰면 다음과 같다. 다중 선형성[2]각 열벡터 vi\mathbf v_ivi​, u∈Fn\mathbf u \in F^nu

namu.wiki

 


Direct11을 이용한 3D게임프로그래밍 (저; 프랭크 D. 루나, 역; 류광, 출판사; 한빛미디어)

 

 

 

행렬 上

행렬과 단위행렬, 전치

 

 

 

 

◎ 행렬

m x n 행렬 M은 m개의 행과 n개의 열로 이루어진 실수들의 정사각 배열이다.

행(row)들의 개수와 열(column)들의 개수를 곱한 것을 행렬의 차원이라고 부르고 행렬을 구성하는 수들을 원소(element) 도는 성분(entry)라고 부른다. 

 

A는 행이 3, 열이 3인 3x3 행렬이다.

종종 한 행렬의 행들을 벡터로 간주하는 것이 편할 때가 있다. 예를 들면 A 행렬의 A1* 는 A11, A12, A13으로 하나의 행벡터를 뜻하게 된다. 이 때 *는 하나의 행벡터 전체를 뜻하게 된다.

열벡터도 마찬가지로 A*1는 A11, A21, A31을 뜻하며 여기서의 *는 하나의 열벡터 전체를 뜻한다.

행렬의 한 성분을 지칭할 때에는 그 성분의 행과 열 번호를 이중 아래첨자(색인)로 지정하는 형태의 표기법을 사용한다.

여기서 첫 아래첨자 i가 행, 둘째 아래첨자 j가 열

 

 

 

 

 

◎ 행렬의 연산

행렬의 상등, 덧셈, 스칼라 곱셈, 뺄셈을 정의해 보면

 

1. 두 행렬은 오직 대응되는 성분들이 상등일 때에만 상등이다. 따라서, 두 행렬의 상등을 비교하려면 두 행렬의 행 수와 열 수가 동일해야 한다.

2. 두 행렬을 더할 때에는 대응되는 성분들을 더한다. 따라서 행 수와 열 수가 같은 행렬들만 덧셈이 가능하다.

3. 행렬에 하나의 스칼라를 곱할 때는 행렬의 모든 성분에 그 스칼라를 곱한다.

4. 행렬의 뺄셈은 스칼라 곱셈과 행렬 덧셈으로 정의한다. 즉, A - B = A + (-1 x B) = A + (-B)이다.

 

 

덧셈과 스칼라 곱셈이 성분별로 이루어지기 때문에 행렬의 덧셈과 스칼라 곱셈도 실수의 덧셈 및 곱셈의 다음과 같은 속성들을 만족한다.

 

A + B = B + A 덧셈의 교환법칙
( A + B ) + C = A + ( B + C ) 덧셈의 결합법칙
r ( A + B ) = rA + rB 행렬들에 대한 스칼라의 분배법칙
( r + s ) A = rA + sA 스칼라들에 대한 행렬의 분배법칙

 

 

◑ 행렬의 곱셈 

 

위에서 덧셈은 행렬의 열 수와 행 수가 동일해야 했는데 곱셈은 조금 다르다.

교환법칙이 성립하지 않는 행렬의 곱셈은 앞의 행렬의 열과 뒤에 곱할 행렬의 행의 수가 같아야 한다.

 

즉, A(앞에 곱하는 행렬)의 행벡터 차원과 B(뒤에 곱하는 행렬)의 열벡터 차원을 일치시켜야 한다. 

만일 A가 m x n 행렬이고 B가 n x p 행렬이면 둘의 곱 AB가 정의된다. 곱 AB는 하나의 m x p 행렬이 된다.

 

행렬 A와 B를 곱한 결과가 C라고 할 때 C의 ij번째 성분은 A의 i번째 행벡터와 B의 j번째 열벡터의 내적이 된다.

 

2x2 행렬과 2x3 행렬을 곱해서 2x3 행렬이 나왔다.

 

 

◑ 행렬의 전치

행렬의 전치, 즉 전치행렬 주어진 행렬의 행들과 열들을 맞바꾼 것을 말한다.

따라서 m x n 행렬의 전치는 n x m 행렬이다. 

행렬 M의 전치행렬은 다음과 같이 표기한다.

 

 

◑ 단위행렬

행렬에는 단위행렬이라고 부르는 특별한 행렬이 있다. 주대각 성분, 즉 좌상에서 우하로의 주된 대각선에 있는 성분들만 1이고 나머지는 모두 0인 정방행렬(정사각형 행렬, 즉 열 수와 행 수가 같은 행렬)이다. 

2x2와 3x3 의 단위행렬 

이 단위행렬은 곱셈의 항등원 역할을 한다.

항등원?

더보기

연산(演算)에서 임의의 원소 a에 대하여 ae=ea=a를 만족하는 원소 e를 가리키는 말. 이를테면, a+0=a, a·1=a이므로 이 때 0을 덧셈의 항등원, 1을 곱셈의 항등원이라 함. 

 

즉, 만일 A가 m x n 행렬이고 B가 n x p 행렬 그리고 I 가 n x n 행렬이면 AI = A, IB = B.

그러니까 어떤 행렬에 단위행렬을 곱해도 그 행렬은 변하지 않는다. 

곱할 행렬 M이 정방행렬이라면 단위행렬과의 곱셈은 교환법칙을 만족한다. 

 

 

 

 

 

 

 

참고 자료;

- Direct11을 이용한 3D게임프로그래밍 (저; 프랭크 D. 루나, 역; 류광, 출판사; 한빛미디어)

 

 

포물선과 원 

 

 

 

 

◎ 포물선

 

포물선은 대칭 꼴의 굴곡, 또는 호를 나타내는 용어이다.

위아래 또는 옆으로 그려질 수도 있고 어느 경우에나 좌우 대칭의 형상을 가진다. 

 

포물선의 방정식은 두 가지 형태가 있다.

 

1. 수직 대칭축을 가지는 상하로 뻗는 포물선의 방정식

 

꼭짓점의 좌표가 (h, k) 대칭축이 x = h인 포물선의 방정식

 

이와 같은 경우 포물선의 형태가 위쪽, 혹은 아래쪽으로 열려있는 형태가 된다. 이 경우 x의 값을 대입해 y의 값을 구할 수 있다.

 

 

 

2. 수평 대칭축을 가지는 좌우로 뻗는 포물선의 방정식

 

꼭짓점의 좌표가 (h,k) 대칭축이 y = h인 포물선의 방정식

 

이 경우에는 오른쪽, 혹은 왼쪽으로 열려있는 포물선이 된다. 이 때는 y값을 대입해 x의 값을 구한다. 

 

 

 

 

 

◎ 원과 구

평면상에서 원은 주어진 고정된 한 점으로부터 반지름에 해당하는 일정한 거리만큼 떨어진 모든 점의 집합을 나타내는 용어이다.

그러므로 원의 방정식은 중심과 반지름 만으로 결정할 수 있다. 

여기서도 원의 중심으로부터 원 위의 한 점까지의 거리를 구하기 위해서 피타고라스의 정리가 사용된다.

 

중심의 위치가 (h,k)이고 반지름이 r인 원의 방정식은 다음과 같다.

 

만약 3차원상에서 구를 그리고 싶으면 중심의 좌표를 2개가 아닌 3개로 표현하면 된다.

중심이 (h,k,l)이고 반지름이 r인 구의 방정식은

 

 

 

 

◎ 응용 (충돌 체크)

원(2차원)과 구(3차원)을 이용하면 게임에서 경계, 즉 충돌 검사를 위해 사용할 수 있다. 체크하려는 점이 구 안에 들어와있는지 아닌지를 확인하면 된다.

 

원과 구와 충돌 되었는지를 확인하는 방법은 간단하다.

두 원이 위의 그림과 같이 붙어있다고 가정했을 때 두 원의 중심 사이의 거리 D는 두 원의 반지름 합인 r1+r2와 같다. 

만약 두 원이 서로 충돌한다면 두 원의 중심사이의 거리는 r1+r2보다 작아질 것이다. 

 

따라서 두 중심점 사이의 거리를 계산한 후 r1+r2가 거리보다 작은지 큰지를 계산해보면 된다.

작으면 두 원은 충돌한 상태일 것이고 크면 충돌하지 않은 상태이다. 

 

각 원이 위와 같이 정의될 때 이 두 원이 
이를 만족하면 충돌이 발생

 

 

그런데 코딩을 하다보면 제곱근 함수는 생각보다 매우 비싼, 프로세서의 처리능력이 많이 필요한 함수라는 것을 알게 될 것이다. 따라서 제곱근 연산을 뺀 계산이 더 효율적이다. 

 

각 원이 위와 같이 정의될 때 두 원이
를 만족하면 충돌이 발생

이렇게 바꿔준다.

 

 

 

 

 

 

참고 자료;

 

게임 프로그래머를 위한 기초 수학과 물리 (저; 웬디 스타일러, 더스틴 클링맨, 카베 카히리쯔 , 역 ; 엄윤섭 , 출판사 ; 제우미디어 )

 

 

 

 

두 점 사이의 거리 구하기

2차원과 3차원

 

 

 

플레이어 사이의 거리 혹은 충돌하려는 두 물체 사이의 거리, 더 나아가서는 사정 거리 안에 들어왔는지 아닌지를 알고 싶을 때가 생기면 어떻게 해야 할까?

가장 간단한 방법은 피타고라스의 정리를 이용하는 것이다.

 

 

 

 

◎ 두 점 사이의 거리

두 점 A와 사이의 거리를 구하고 싶다.

A와 B를 잇는 선분을 하나 그린 후 이를 빗변으로 하는 직각 삼각형을 하나 그린다.

A(x1, y1), B(x2, y2)라 할 때 나머지 하나의 꼭짓점의 좌표는 C(x2, y1)이 된다. 

 

여기서 피타고라스의 정리를 사용하면 A와 B를 잇는 빗변의 거리를 구할 수 있다.

 

 

제곱근은 직접 연산을 통해 계산해도 되지만 <math.h> 헤더를 추가해 sqrt 와 pow를 이용해도 된다. 

 

sqrt(값) 제곱근을 구하는 함수로 제곱근을 반환 

pow(값, 지수) 제곱을 구하는 함수. 

 

 

 

 

◎ 3차원으로의 확장

위의 거리의 공식은 xy축에 추가로 z축을 사용하는 3차원으로도 쉽게 확장할 수 있다.

공식에 z좌표만 추가하면 된다.

 

두 점 A(x1, y1, z1), B(x2, y2, z2) 사이의 거리는 

 

 

 

 

 

 

 

삼각함수

각도와 라디안, 그리고 sin cos tan.

 

 

 

 

 

◎ 각도와 라디안

라디안은 원주율의 단위이다. 호의 길의각도를 나타내기 때문에 호도법이라고도 한다. 

 

xy 좌표계에서 한바퀴를 돌아 제자리로 돌아오는 것은 360˚이다. 그리고 이에 해당하는 라디안 단위의 크기는 2πr이다. 

 

우리는 일상생활에서 각도를 많이 써서 각도가 더 익숙하다.

그러나 라디안을 이용하면 호의 길이와 각도를 구하기가 더 편리하고 깔끔하게 알아보기 쉽기 때문에 이러한 계산이 필요한 곳에서는 호도법을 이용한다. 

 

 

위키백과/ 라디안 

위의 그림같이 원의 반지름과 길이가 같은 호가 대하는 중심각의 크기는 1라디안이다.

 

 

◑ 도→ 라디안

도 단위의 각 * (π/180)

 

모든 C++ 삼각함수 라이브러리, sin()이나 cos(), tan() 등과 같은 것들은 라디안을 사용하고 삼각함수의 역함수 라이브러리의 리턴값 역시 라디안 단위이다. 

 

이런 것들은 미리 PI값을 #define 지시문으로 간편하게 변환을 할 수 있게 매크로로 정의해 놓는 것이 좋다.

 

 

 

 

 

◎ 삼각함수 (sin, cos, tan)

모든 삼각함수는 직각삼각형에 대해 정의된다.

그리고 그 직각삼각형을 통해 sin, cos, tan를 정의할 수 있다. 

삼각함수는 직각 삼각형에서 빗변, 높이, 밑변 사이의 비율을 나타내 흔히 삼각비라고도 한다. 

 

위와 같은 삼각형이 있을 때

  sin Θ cos Θ tan Θ
30˚

45˚
60˚

 

 

 

 

sin의 역함수는 csc(코시컨트), cos의 역함수는 sec(시컨트), tan의 역함수는 cot(코탄젠트)로 정의된다. 

 

csc Θ sec Θ cot Θ

 

이런 역함수들은 사인, 코사인, 탄젠트가 포함된 분수를 없애서 식을 간단하게 만들고자할 때나 여러 방면에서 활용이 가능하다. 

 

 

 

 

 

◎ 삼각함수의 합차공식

삼각함수의 합차공식은 벡터의 회전을 구할 때 사용된다. 

 

 

 

 

 

참고 자료;

 

https://ko.wikipedia.org/wiki/%EB%9D%BC%EB%94%94%EC%95%88

 

라디안 - 위키백과, 우리 모두의 백과사전

위키백과, 우리 모두의 백과사전. 라디안(영어: radian)은 각의 크기를 재는 SI 단위이다. 호도(弧度)라고도 하며, 기호는 rad이다. 단위원의 중심각의 라디안 값은 그 각이 대하는 호의 길이와 같다. 1라디안은 약 57.3도이다. 라디안은 입체각의 단위인 스테라디안과 함께 SI 보조 단위에 속했으나, 1995년에 SI 보조 단위가 폐지되면서 SI 유도 단위가 되었다. 라디안의 표기는 rad 기호가 가장 흔하며, 이는 자주 생략된다. 간혹 c(위첨

ko.wikipedia.org


게임 프로그래머를 위한 기초 수학과 물리 (저; 웬디 스타일러, 더스틴 클링맨, 카베 카히리쯔 , 역 ; 엄윤섭 , 출판사 ; 제우미디어 )

+ Recent posts